作者:徐金德,
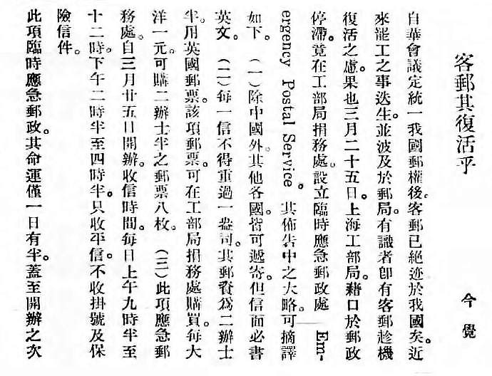
针对工部局出售英国邮票、收寄国际信件一事,周今觉在收到日本邮人寄还的2件实寄封之后,撰文惊呼《客邮其复活乎》,发表在6月20日出版的《邮乘》第3卷第1号(图1),谴责英国侵犯中国邮政主权。文章简要摘译工部局通告内容,记述施开甲寄发信件概况,刊出销票邮戳图样(图2),指明应急邮务有意未刻制“Emergency Postal Service”(应急邮政)邮戳,而借用英国战地邮局“FIELD POST OFFICE”邮戳销票,使人不知何地收寄,以此掩盖侵犯中国邮权的行为,逃避世人谴责。最后,他指出:“然在我国境内,自由设局,不独代英兵寄信,且代一般群众寄信,是不得不谓之客邮复活矣。他日著中国邮学史者,共毋忘此一日有半也”。文末还特别补充道,事后又据施开甲告之,军邮戳下半环的数字即代表地名,“1”为上海喀利饭店(笔者注:应为前客利饭店)邮务处,“3”为上海海格路(笔者注:Avenue Haig,今华山路)邮务处,“2”为香港,因为香港亦驻有英国远征军。同期《邮乘》还刊载此文的英文稿,标题为“Emergency Postal Service”(应急邮政)(图3)。并于《申报》6月21日第3版刊登广告《邮乘三卷第一期出版》,重点介绍本期“主要论文有……战事奇邮,客邮复活等等,皆极新颖者”。
图1

图2
图3
《申报》3月24日援引《大晚报》信息报道,自邮局职工罢工后,“邮务当局曾谋施行临时办法,使邮务不致停顿,但均无效”。由工部局出面招募人员,出售英国邮票,收寄国际信件,再移交并通过英军邮路转运,保障外侨通信。原来这是上海邮务管理局与工部局商定后实施的应急措施之一。《申报》3月29日继而刊载《工部局临时邮政取消》消息,报道“工部局所设之临时邮政,以中国邮局业经复工,刻已停办。惟信函之贴有日前所售之英国邮票者,仍将收受可至购票者用罄为止。当临时邮政开办之两天内,所收信件不下数千封”。《中国近代邮电史》、《上海邮政史》等书提及“应变邮局”时,对此均未说明讲透,使人误以为工部局重起炉灶另行组建邮局。图4即为临时邮政首日收寄的实寄封,寄往英国伦敦,封舌凹凸压印香港上海汇丰银行,销1927年3月25日“FIELD POST OFFICE/1”军邮日戳,这种日戳简称“FPO”军邮戳。图5为寄往英国曼彻斯特的次日实寄封。

图4

图5
待续……
本文来自先睹堂主的博客,手机集邮经作者授权转载
